服务热线

021-50276769
网站导航
技术文章
当前位置:主页 > 技术文章 > 如何优化理论塔板数N

如何优化理论塔板数N

更新时间:2022-06-08 点击次数:3915

上一期跟大家分享了有关理论塔板数的定义和影响理论塔板数的因素,今天小编和大家继续分享,如何来优化理论塔板数

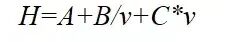
先回顾下和理论塔板数相关的范德姆特方程:

微信截图_20220608132029.png

H表示理论塔板高度,v表示流动相的流速,A表示涡流扩散项,B/v表示纵向扩散项,C*v表示传质阻力项。

而N=(1/H)L,L是色谱柱的柱长。

 如何优化理论塔板数? 

01

图片

色谱柱条件对分离的影响

调整选择性以优化色谱峰之间的间距和zui大化样品的分离度之后,分离效果一般可令人满意。然而,通过改变色谱柱的条件(柱长、流速、粒径)也有可能进一步改善分离的效果,从而改变色谱柱的理论塔板数。

请注意,在等度洗脱的实验里,如果仅仅改动色谱柱条件,那么相对保留行为和色谱柱之间相对间距(保留因子k和选择性α的值)会保持不变;因此,不会破坏之前通过改变α而获得的色谱峰间距的优化结果。

N值的增加会引起分离度的提高,通常也意味着分离时间更长。相反,N值减小可以让实验时间缩短—— 在优化选择性之后,当分离度Rs>2时,有益于实验本身。

如果其他因素相同,N就应该和柱长成正比,通常来说当填充颗粒的粒径减小或流动相流速减小N值都会增加。当k值变化时,实验时间和t0成正比,而t0与L/v成正比。因此,实验时间会随着柱长的增加而同比增加,或者随流动相流速的减小而同比增加。同样地,压力P会随着柱长或者流速的增加,或者填充颗粒粒径的减小而增加。

所以,当改变色谱柱条件来改善分离效果时,我们需要平衡好实验时间、分离度和系统的压力

还有就是,如果改变色谱柱条件是为了提高分离度或者加快实验速度,建议不要改变键合相,这是为了避免柱子选择性出现变化。


02

图片

快速HPLC

假设我们可以获得合适的仪器设备的柱子条件,分离时间取决于zui后一个峰的k值和分离度zui低的色谱峰对(“关键")的α值。一旦“zui  jia"的k值和α值确定后(选择性的优化),分离度和分离时间就由N值决定了。有助于实现快速分离的条件包括较小的填充颗粒,较短的柱子和较高的流动相流速。

进一步缩短分离时间(要保证N值不能被减少)可以通过下面一个或多个办法来实现:

● 超高压;

● 更高的温度;

● 特殊设计的填充颗粒。

图片

高压操作

图片

UHPLC可用于获得更好的分离度或者缩短实验操作时间。需要注意的是,当柱压超过34MPa的时候,某些之前认为的关系开始明显不再成立。流动相的黏度随着柱压的增加而增大,因此压力再也无法随着流速的增加而同比增加。k值和α值也取决于系统压力,因此就和柱子的条件相关;这种情况在系统压力比较低时就不明显。

zui后需要注意的是,当液体流经一根填充的柱子时会产生热量,这个热量和贯穿整个柱子的压力成正比。柱子里发生温度改变可能会对峰形和理论塔板数产生负面的影响,以及进一步改变k值和α值。

图片

高温实验操作

图片

温度越高,N值也会相应增加。升高温度的同时会导致流动相黏度降低和溶质分子的扩散系数Dm增加。提高温度,在理论上可以用来缩短实验时间而同时保持N值不变,或者增加N值而保持实验时间不变。高温操作的优势也会被一些相应的劣势所抵消。所以温度,通常是Nzui大值和αzui大值间的妥协。

图片

特殊设计的颗粒

图片

除了通常使用的全多孔颗粒之外,还有其它类型的柱子:薄壳型(pellicular)或者核壳型(表面多孔)颗粒填充的柱子整体柱。关于这些柱子,我们在其它推文中也有介绍。

微信截图_20220608132045.png

核壳色谱柱填料结构

薄壳型和核壳型颗粒对于大分子的分离具有特别优势,对范德姆特方程方程中,传质阻力项Cv的贡献减少了。薄壳型的色谱柱是以一层薄的多孔填料涂覆在实心的硅胶柱上构成的,因此很容易发生超载,这使得它的使用局限在一些很小的样品上(也就是进样量必须要很小)。

核壳型柱子的多孔填料层比薄壳型柱子的厚,这使得它们能够承载几乎和全多孔柱一样多的样品量。在其它实验条件都相同的情况下,整体柱比颗粒柱更加具有渗透性,这就允许应用更高的流速,并且也能实现快速分离。

2026 版权所有 © 月旭科技  备案号:沪ICP备05030427号-4 GoogleSitemap管理登陆 技术支持:化工仪器网

地址:浙江省金华市婺城区秋滨街道双林南街168号 传真: 邮件:marketing@welchmat.com

关注我们

服务热线

扫一扫,关注我们